energieopslag, potentiële energie, opslag energie voor later gebruik, energiedrager

Grootschalige opslag van energie is noodzaak wanneer vrijwel uitsluitend gebruik wordt gemaakt van windenergie en zonne-energie
Het gelijktijdig optreden van duisternis en windstilte, waardoor zonnepanelen en windturbines geen stroom leveren, wordt Dunkelflaute genoemd, een samentrekking van Dunkelheit en Windflaute. Dunkelflaute is een reële bedreiging voor de levering van groene elektriciteit uit wind en zon (vooral in het koude seizoen). 

Energieopslag kan bijvoorbeeld elektrische netwerken stabiliseren door de balans tussen productie en verbruik van elektriciteit te waarborgen en daarmee netcongestie te vermijden, zonder gebruik te maken van energiecentrales op fossiele energie (gas-, kolen- bruinkool- en oliecentrales). 
Vooral in de winter kunnen er veel Dunkelflautes optreden, terwijl in die periode juist meer elektriciteit nodig is, zeker als er steeds meer op elektriciteit werkt in plaats van op gas en olie (warmtepompen, auto's, inductiekookplaten, industrie). 

Opslag van energie is natuurlijk altijd mogelijk in enige vorm, maar ook nuttig als er veel energie teveel wordt geproduceerd of in ieder geval tijdelijk zeer goedkoop is. Het lijkt er wel op dat dat met windmolens en zonnepanelen steeds vaker gebeurt, maar het is nog niet duidelijk of dat voldoende zal zijn om de opslag economisch te verantwoorden (bijvoorbeeld alleen in de stormachtige nachten en zonovergoten dagen wordt er teveel elektriciteit opgewekt).
Opslag van energie afkomstig van een groene bron is meer of minder te beschouwen als groene energie.

Kritische noot

- De energiecrisis van 2022 heeft voor een enorme prijsstijging van energie gezorgd en maakt de noodzaak duidelijk energie op te slaan, voor korte én voor langere tijd. 
- Ook kernenergie is nu weer in beeld: goed voor CO2-volgers en nu eens ook voor alle andere personen en bedrijven die een "normale" energieprijs willen. Voordelen kernenergie: geen fossiele brandstof, leveringszekerheid (altijd stroom, ongeacht zonneschijn en wind), goedkope stroom, onafhankelijk van andere, vaak dubieuze landen. Nadelen: kernafval, inwendige van de centrale goed beveiligen i.v.m. militaire onenigheid met andere naties, meestal vrij continue productie nodig (teveel aan geproduceerde elektriciteit wel goed te gebruiken als groene warmte in een warmtenet of om een andere energiesoort (waterstof o.d.) aan te maken die wel goed opgeslagen kan worden). Voordelen van de mini-kerncentrales (SMR's): relatief snel te plaatsen, opschalen mogelijk.
De energiecrisis is mede ontstaan door het naïeve gedrag van binnenlandse en Europese politici en het economisch belang van de VS die meewerken aan de Europese aardgasleiding verbood en later in schepen aangevoerd vloeibaar aardgas (LNG) duur aan ons verkocht. Van je "vrienden" moet je het hebben... Onafhankelijkheid van andere naties, ook "bevriende",  is dus een groot goed!


Belangrijk bij energieopslag is
- Doel van de opslag (korte termijn, lange termijn; aanvullend of veel laad/ontlaadcycli; woning, buurt, regio e.d.)
- Materiaal dat opgeslagen wordt (energiebron: elektriciteit, warmte)
- Omvang van de benodigde opslag (in kWh of MJ)
- Kosten van opslag en transport (initieel de installatie; in werkende fase per kWh of MJ) 
- Snelheid van laden en ontladen
- Software van het centrale en lokale netwerk moet opslag en onttrekking mogelijk maken op een correcte en snelle manier
- Bij voorkeur lokale opslag om het centrale netwerk te ontzien
- Omvang van de apparatuur, vooral bij lokale opslag in woningen
- Verkrijgbaarheid stoffen: bij voorkeur materialen/stoffen die goed verkrijgbaar zijn (niet zeldzaam en bij voorkeur uit eigen land).

Attentiepunten
- Wanneer er in bepaalde periodes veel energie teveel of zeer goedkoop is en we kunnen die niet zonder meer opslaan, is minder efficiënte, minder rendabele opslag zeker te overwegen (tenzij de kosten van transport, opslag en heropwekking van elektriciteit of warmte boven het uiteindelijke nut komen). 
- Wanneer er af en toe minder elektriciteit beschikbaar is door veel grotere afname of veel lagere productie, dan is het rendement van de energieopslag minder belangrijk! Voorwaarde is wel dat de bronenergie zo groen mogelijk is.
- Bij nog-niet-bewezen technieken van energieopslag is de schaalbaarheid van het testmodel een belangrijk gegeven (is een kleine test voldoende om een veel grotere omvang waar te kunnen maken).
- Wanneer er vaak teveel elektriciteit wordt geproduceerd (en dus stroom zeer goedkoop is) kan er ook gedacht worden aan meer productie draaien of alleen specifieke, veel stroom vereisende activiteiten voor die momenten te reserveren. Daar kleven nogal wat nadelen aan, het is immers niet gemakkelijk om ineens een proces te starten en voor een onbekende, misschien korte periode uit te voeren, zeker niet als daarbij menselijke inbreng vereist is. (Wanneer veel bedrijven en particulieren in zulke periodes al of niet geautomatiseerd meer stroom gaan gebruiken wordt die natuurlijk ook weer duurder en moet dat proces weer stoppen).
- Er zijn enorm veel deskundigen met specialistische kennis in een deelgebied, maar die missen vaak de grote lijn, zien de samenhang niet, kennen de lokale situatie niet, sluiten zich af voor andere wetenschappen en innovaties en zijn vooral bang voor eenvoudige oplossingen. Gevolg is dat men langs elkaar heen praat en goede plannen niet de aandacht krijgen die ze verdienen. Jammer dat in Nederland "energie" onder het Ministerie van Economische Zaken en Klimaat valt en er geen aparte, technische generalist is als minister van Energie... 

Het is daarom wel enorm handig als we energie kunnen opslaan, vooral voor korte tijd maar soms ook voor langere tijd.

Er zijn verschillende manieren om energie op te slaan, mede afhankelijk van de vorm en de hoeveelheid van de energie.

Opslag van elektriciteit is mogelijk via:

- Accu's. Elektriciteit kan in accu's worden opgeslagen (centraal of lokaal). Voor warmte-accu zie bij buffervat.
- Stuwmeer, valmeer (bergcentrale, spaarbekken, watermijn, valmeer, pompcentrale). Elektriciteit kan worden gebruikt om water op te pompen in een stuwmeer of uit een valmeer te pompen; op een later moment kan het water dienen om via een turbine weer elektriciteit op te wekken.
- Chemisch omzetten (Power-to-Gas P2G, Power-to-Liquid P2L, Power-to-Fuel P2F, bijvoorbeeld naar waterstof, methaan, methanol of ammoniak, vooral als vloeibare opslag van energie). Elektriciteit wordt omgezet naar een medium ("energiedrager") om later weer elektriciteit (en/of warmte) te leveren.
- Onderwatertanks. Opslag van potentiële energie in ondergrondse tanks.
- Blue energy battery. Opslag van zout- en zoetwater als bron voor opwekken van elektriciteit. 
- Samengedrukte lucht of vloeistof (opslag perslucht). Door het samendrukken kan in een later stadium de lucht of de vloeistof een turbine aandrijven en elektriciteit opwekken.
- Vliegwiel. Opslag in de vorm van rotatie-energie (een vorm van kinetische energie).
- Blok aan kabel in mijnschacht (ophijsen en neerlaten).
(Zie eventueel de pagina congestie voor oplossingen om een overbelast elektriciteitsnet tegen te gaan.)

Opslag van warmte is mogelijk via:

Soms is opslag nodig van zowel warmte als koude, voor langere termijn. Soms is uitsluitend warmte-opslag gewenst (in de zomer), voor verwarming van het gebouw in de winter (ook opslag voor langere tijd). Soms gaat het om een kortere bewaartijd.
- Buffervat (warmte-accu, warmtebatterij), bijvoorbeeld warmte wordt opgeslagen in een grote boiler. Warm water uit een buffervat kan gebruikt worden als warm tapwater of voor verwarming (bij voorkeur lage temperatuurverwarming zoals vloerverwarming; het huis moet wel goed geïsoleerd zijn) of voor een klein deel heet water voor de radiatoren in kamers waar geen vloerverwarming is.
- Warmte-koude-opslag. Warmte en koude opslaan in een gesloten systeem (lokaal, bij een gebouw) of open (bij een gebouw of in diepere aardlagen), opslag voor langere tijd. In de zomer wordt de koelte van het water in het systeem gebruikt om het gebouw te koelen. Het systeemwater dat het gebouw verlaat wordt verwarmd door de warmte uit het gebouw. In de winter wordt de warmte van het water in het systeem gebruikt om het gebouw te verwarmen waarbij het water afkoelt. Het afgekoelde systeemwater wordt opgeslagen om 's zomers weer te koelte te geven.
- Aquathermie is het benutten van warmte / koude uit oppervlaktewater (TEO), afvalwater (TEA) of drinkwater (TED). 
- Warmte-opslag voor het warmtenet. In een zogenoemde e-boiler wordt met groene stroom een enorme hoeveelheid water verwarmd waardoor de e-boiler fungeert als warmtebuffer voor het warmtenet dat warmte levert aan bijvoorbeeld een stadswijk. De e-boiler wordt uitsluitend ingezet wanneer groene stroom beschikbaar is. (In 2020 was nog geen 18% van de opgewekte stroom milieuvriendelijk, maar dat wordt steeds wel een beetje meer; de grijze biomassa is hierin niet meegerekend; die biomassa besloeg in 2020 bijna 30% van de groene stroom; ook de grijze biomassa werd toen nog "groene stroom" genoemd.)
- Phase change materials (PCM). Stof verwarmen verandert de fase (vast naar vloeibaar) en zorg dat er nauwelijks of geen warmteverlies is, bij afkoeling komt de warmte weer vrij. Meestal opslag voor korte, in ieder geval niet te lange termijn.
- Thermisch-chemische opslag. Stof1 en warmte geeft stof2, bewaar stof2; om weer warmte te verkrijgen voeg iets aan stof2 toe om weer stof1 en warmte te verkrijgen. Een ander methode: Stof1 en warmte geeft twee aparte stoffen, bewaar beide stoffen. Om weer warmte te verkrijgen breng de stoffen weer samen en er ontstaat stof1 en warmte. Meestal gaat het om opslag voor langere tijd.
- Heet vloeibaar zout of Keramische kogeltjes e.d.
Vrij kortstondige energieopslag in de vorm van warmteopslag in heet, vloeibaar zout of hete kogeltjes e.d.

Opslag van aardgas valt een beetje buiten dit kader omdat dit artikel uitsluitend elektriciteit en warmte behandelt, maar is mogelijk via:

- Lege aardgasvelden. Waarschijnlijk de mooiste oplossing. Probleem is mogelijk dat ze niet schoon genoeg zijn? Om al het aardgas eruit te krijgen, wordt er een stof ingebracht die het aardgas naar boven "duwt".
- Grote aardgastanks zoals op de Maasvlakte. Wordt al gedaan, maar voor een iets strengere winter waarschijnlijk veel te klein.
- Grote LNG-schepen aan de kade laten liggen (waarschijnlijk een dure oplossing).
- Omzetten van energie (aardgas omzetten naar een andere energiebron of naar een stof die weer om te zetten is naar aardgas).

Voor veel informatie, afwegingen en commentaar over energie en opslag: WattIsDuurzaam.



Elektriciteit: Accu's


Theoretisch kunnen ook zeer omvangrijke accu's worden toegepast of een zeer groot aantal kleinere accu's, afhankelijk van de economische situatie.

Voordelen accu's
- vrijwel rechtstreeks is de accu te laden vanuit elektriciteit (bij voorkeur groene stroom, van bijvoorbeeld zonnepanelen of windmolens)
- als de saldering afgeschaft wordt, moet bij voorkeur alle opgewekte stroom zelf gebruikt worden (nu of later); overheid en energiebedrijven willen de saldering afschaffen: de overheid loopt veel energiebelasting en btw mis en de energiebedrijven lopen veel inkomsten mis (zo simpel is het)
- relatief klein volume (voor huiselijk gebruik of op wijkniveau; voor zeer grote bedrijven meer denken in de orde van containerformaat)
- omdat steeds meer auto's op stroom rijden en door aardgasloze nieuwbouw steeds meer op elektriciteit gekookt wordt (inductiekookplaat e.d.), zijn er steeds meer pieken in de vraag naar elektriciteit waar accu's goed in kunnen voldoen (peak shaving); bij stroomuitval kan de accu te hulp schieten; bij een wispelturige elektriciteitsvoorziening via zonnepanelen en windenergie (stabilisering van het net) en een complexer netwerk (smart grid, virtual powerplant) is een accu te zien als een soort Uninterrupted Power Supply (UPS); de accu van een auto o.d. wordt vaak een accu of batterij van een EV genoemd (EV staat voor Elektrisch Voertuig); de inzet van een auto-accu als energieopslag wordt Vehicle to Home (V2H, thuisnetwerk elektriciteit) of Vehicle to Grid (V2G, openbare net) genoemd (ideaal is natuurlijk beide opties)
- er is energy-trading mogelijk (de accu laden bij goedkope stroom en ontladen bij dure stroom, eventueel ook naar het openbare net)
- door strategisch gebruik van accu's lijkt netverzwaring in bepaalde gevallen te vermijden.

Nadelen accu's
- nog steeds een duur tot zeer duur medium (de levelized cost of electricity (LCOE) van lithiumaccu's schijnt ca. 150 euro per MWh te zijn; onduidelijk is of dit reëel is; situatie 2020); kosten van een accu van 10 kWh kost ca. 8.000 euro (incl. btw en montage; prijspeil 2024);
de prijsverlagingen van accu's gaan helemaal niet zo snel als verwacht werd én mogelijk zal de prijs van de thuisaccu's en het installeren daarvan juist stijgen wanneer de saldering volledig stopt... 
- de besparingen zijn vooralsnog schromelijk overdreven; een accu-leverancier kwam op een besparing van 1330 euro per jaar, maar als je het eerlijk uitrekent kom je slechts op een besparing van een paar honderd euro per jaar als de accu echt gebruikt gaat worden om zelf opgewekte en niet-gebruikte energie op te slaan en om in de zeer goedkope tijd energie in te kopen én om elektra zelf te gebruiken buiten eigen-opwek-tijd én om aan het net te leveren als de stroom duur is;
- niet zeer snel in het leveren van veel energie (een combinatie van accu's en ultracapacitors kan wellicht de snelheid van leveren verhogen)
- gaat maar een beperkt aantal malen opladen/ontladen mee (één cyclus is één keer volledig opladen plus één keer volledig ontladen; bij 1000 cycli is de capaciteit al aardig afgenomen; er zijn nu al batterijen/accu's met een max. van 6.000-10.000 cycli)
- meestal is dit niet direct een bezwaar, maar een accu is veel zwaarder dan de hoeveelheid benzine of kerosine met dezelfde hoeveelheid energie
- bij een verbuik van ca. 3500 kWh per jaar is dus gemiddeld een accu met een opslag van 10 kWh voldoende voor 1 dag; 3500 kWh per jaar leek veel maar sinds de warmtepomp en andere apparatuur op elektriciteit vrij normaal (verwarming van de woning is hierin niet meegerekend, dan wordt het 20-25 kWh/dag).  

Lokale opslag van energie in accu's
Voor het totale, openbare net is lokale opslag in accu's gunstiger dan centrale opslag. Het openbare net wordt niet belast en wanneer de salderingsregeling fors afgebouwd is, dan brengt de aan het openbare net geleverde energie bijna niets op en kan het opslaan van zelf opgewekte energie nuttig zijn. Bijvoorbeeld
één forse accu per woning met goede software en een directe koppeling met de energiebeurs:
- kan de zelf opgewekte energie "in huis" houden
- én kan goedkope stroom van het openbare net laden (helpt mee congestie te vermijden) 
- én kan opgeslagen stroom (duurder) aan het openbare net leveren
- én maakt je minder afhankelijk van energieleveranciers en het openbare net.

Dit alles lijkt gunstiger dan omvangrijke aantallen grote accu's die centraal zijn opgesteld. Het gaat niet met heel grote sprongen, maar accu's worden toch steeds goedkoper. Ook de accu van de elektrische auto kan hier mogelijk voor gebruikt worden, waardoor de nog steeds hoge kosten van een thuis-accu vermeden wordt.
Kritische noot: als er zeer grote aantallen batterijen zijn en de software reageert bijna onmiddellijk op de energieprijs, dan schiet die energieprijs natuurlijk weer omhoog. Voor de lange termijn is het waarschijnlijk belangrijker onafhankelijk te zijn van de openbare energielevering, zeker als het openbare net nog lange tijd overbelast is.

mogelijkheden bij gebruik van een thuisbatterij / accu (zelfstroom, aangepast op inkopen van openbare net):


Voordelen lokale opslag (thuis, al of niet via de auto-accu, of eventueel meer woningen)
- Er is nauwelijks impact op het openbare net omdat zowel opwekken als afnemen lokaal blijft. De impact heeft betrekking op zowel load (anders grote hoeveelheden extra nodig) als balancing (piekbelastingen en steeds distribueren en ontvangen van stroom).
- Wat je produceert, kun je ook zelf allemaal opmaken (als je zoveel mogelijk op elektriciteit aangesloten hebt), dus geen kW's van het openbare net betrekken als dat niet nodig is. (Afbeelding Zelfstroom.)

Een paar aspecten: 
- "In Duitsland helpt de overheid mee en krijgen huiseigenaren tot 10.000 euro subsidie op de combinatie zonnepanelen, thuisbatterij en autolader" (2023-10). Jammer dat Nederland zoiets nog niet heeft.
- Zeker nog niet elke woning genereert zelf elektriciteit dus die inzet kent beperkingen.
- Als je niet je eigen auto-accu wilt gebruiken, moet een omvangrijke extra accu worden aangeschaft. Zolang de prijs van zo'n accu nog ca. 8.000 euro/kWh bedraagt (situatie 2024, incl. btw), zullen niet veel particulieren overgaan tot aanschaf; hoewel, volledige subsidie van bijvoorbeeld 1 miljoen accu's kost (geen btw want dat is natuurlijk onzin bij volledige subsidie) 8.000 - 21% = ca. 2400 euro dus ca. 6,3 miljard euro en over 10 jaar verspreid valt dat best mee, en dan kunnen we in de daaropvolgende jaren langzaamaan de rest van de bevolking van thuisbatterijen voorzien.
- Accu's worden steeds goedkoper, met steeds meer capaciteit, sneller laden/ontladen en langere levensduur.
- De zogenoemde C-rate geeft de verhouding weer tussen het laden en de capaciteit; een accu van 200 kWh laden met 600 kW duurt dan 200/600 = 1/3 uur ofwel 20 minuten.
- Als het een thuis-accu betreft: zorg ervoor dat de accu op een betrekkelijk koele en droge plek staat met goede ventilatie (de accu moet zijn warmte kwijt kunnen anders kan brand ontstaan). De inboedel- en opstalverzekeraar kan eventueel eisen gaan stellen aan locatie en omgeving van zo'n accu.
- Meer gegevens bij de thuisbatterij.

Buurtaccu's (buurtbatterijen) als reële optie (buurtaccu's worden steeds vaker buurtbatterijen genoemd)
Buurtbuffers die lokale pieken opvangen zijn een goede optie om lokaal opgewekte stroom ook zelf (in de buurt) te gebruiken én om overbelasting van het netwerk te vermijden. Bij lokale dalen kunnen deze de wijkaccu's worden opladen met lokaal aangemaakte stroom (of openbare stroom). Energienetwerken voor woonwijken is zeker te overwegen als de accu's niet zo duur meer zijn en een toereikende capaciteit hebben. Hierdoor wordt het landelijke net niet extra belast en heeft men op wijkniveau toch geen last van dips in en uitval van de elektriciteit.
Een nieuwbouwproject "Roots" in Leidsche Rijn (Utrecht) en de wijk Hooghkamer (Voorhout gemeente Teylingen) zijn al voorzien van buurtaccu's. De Johan Cruijff ArenA ontwikkelde in 2018, samen met o.a. BAM, een superbatterij met een opslagvermogen van 3 MW en een capaciteit van 2,8 MWh. Het systeem is opgezet met tweedehandsaccu's van 148 gebruikte auto's. Ook bij een stroomstoring en buiten het stadion kan de energieopslag worden ingezet.

Alles hangt natuurlijk ook af van de omvang van de elektriciteitsproductie op lokaal niveau (zonnepanelen en eventueel windenergie), anders worden de accu's uitsluitend in goedkope daluren door openbare stroom opgeladen. In bepaalde periodes en situaties kan goedkoop opladen best voldoende zijn, maar door omvangrijke afname van "goedkope stroom" wordt de stroom automatisch duurder... Een ander punt is uiteraard de hoge aanschafprijs van een grote buurtbatterij; die kosten worden wel steeds wat lager, misschien zet dat door als van tweedehands accu's gebruik kan worden gemaakt als die tenminste toch nog een vrij lang en gelukkig leven kunnen hebben.
Een grote verzameling accu's van elektrische auto's kan ook fungeren als een buurt-accu.

Voordelen buurtbatterij:
- deelnemers behoeven geen nerd te zijn die van alle smoet weten kennis moet bijhouden
- de kosten per deelnemer zijn lager, zeker indien beheer en onderhoud niet heel veel kost (veel deelnemers per buurt immers; individueel stroom opslaan of terughalen op gezamenlijke batterij; batterij moet wel fors groot zijn omdat zowel opslaan als terughalen vaak voor velen op dezelfde momenten zal zijn)
- capaciteit wordt op buurtniveau bepaald en toegevoegd (zelf bijhouden of het tijd wordt voor uitbreiding van de accu is moeilijk en kostbaar; bijplaatsen op buurtniveau is wat gemakkelijker).

Nadelen buurtbatterij:
- zowel het opslaan als het terughalen van energie zal voor velen vaak op dezelfde momenten zijn (vooral als er veel auto-accu's geladen moeten worden, maar een vorm van time-sharing is mogelijk; 's nachts opladen auto-accu als buutbatterij nog geladen is of (als de buutbatterij leeg is), elektriciteit van het openbare net goedkoop is)
- verhandelen van de elektriciteit is ingewikkeld dan bij een thuisbatterij (bijvoorbeeld de winst verdelen over alle deelnemers of verdelen over de deelnemers die dat moment actief zijn met het winstgevende laden / ontladen wat nogal complex is?).

(Analoog aan de buurtaccu / buurtbatterij bestaan ook de termen thuisbatterij (thuisaccu) en gridbatterij / gridaccu. Zie ook bij congestie.)

Nog meer centrale opslag in accu's (een zeer groot gebied bestrijkend)
Waarschijnlijk is dit (nog) niet de geëigende manier:
- het netwerk wordt toch zwaar belast of overbelast bij centrale opslag
- zulke accu's zijn zeer duur (hoewel de prijs steeds kleiner wordt)
- wat is de bron van de elektriciteit om grote centrale accu's op te laden? (als de centrale accu alleen gevuld wordt bij overproductie aan elektriciteit of bij zeer goedkope stroom, dan kan dit wel eens tegenvallen; wellicht een zonnepark of een windpark, maar dat zien buurtbewoners liever niet; bij een windpark op zee is een mogelijkheid; wellicht kernenergie omdat een kerncentrale moeilijk op- en af te schakelen is bij steeds wispelturiger wordende aanbod én afname van elektriciteit van zon en wind).

Langdurige opslag
- Gebruik van accu's voor langdurige opslag (bijvoorbeeld 's zomers opslaan om 's winters warmte te leveren) is niet zo gunstig:
. accu's zelf zijn daar veel te duur voor (de kosten per kW vermogen zijn dan zeer hoog)
. per verbruikte kWh is zo'n accu te duur (door de langdurige opslag is het aantal kWh waar de accu mee geladen/ontladen wordt veel te laag en dus de kosten per kWh verbruik enorm hoog)
. bij een te laag verbruik verliest de accu een aanzienlijk deel van zijn opslag
- Langdurige opslag zou eigenlijk in "moleculen" moeten plaatsvinden (bijvoorbeeld in de vorm van waterstof) in plaats van in de vorm van elektronen (elektrische opslag in accu's).

Accu's van auto's en thuisbatterijen
Het gebruik de accu's van elektrische auto's is wel een optie, maar deze methode bevat nogal wat onzekerheden:
- als de eigenaar zijn eigen auto-accu kan gebruiken voor de opslag en levering van zijn zelf opgewekte stroom (dit voorkomt terugleveren aan het openbare net wanneer dat niet gewenst is)
- als de eigenaar zijn auto-accu beschikbaar stelt voor gemeenschappelijk gebruik (indien er voor alle participanten een redelijke vergoeding is  en indien de eigenaar een bepaalde onderste limiet kan instellen; ook dit voorkomt terugleveren ana het omvangrijkere openbare net wanneer dat niet gewenst is; participanten zijn de eigenaar van de accu, het energiebedrijf, de netbeheer en eventueel de eigenaar van de laadpaal wanneer die verschilt van de eigenaar van de accu).

Voor tijdelijke energieopslag zijn ook reguliere thuisbatterijen beschikbaar waar de zonnestroom in kan worden opgeslagen.

Zie verder bij thuisbatterij, waar de voor- en nadelen van de reguliere thuisbatterij én van de auto-accu zijn vermeld.

Accu's met andere opslagmaterialen
Veel accu's bevatten zeldzame of dure metalen of elektrolyten (de vloeistof tussen de twee polen van de accu), maar er worden ook proeven gedaan met accu's die bijvoorbeeld waterstofbromide of zeezout als elektrolyt hebben, alom verkrijgbaar en goedkoop.

energieopslag van elektriciteit van eigen pv-panelen en openbaar elektriciteitsnet; klik voor groter (prijs zonnepanelen belgië):



AC = wisselstroom
DC = gelijkstroom

 


Elektriciteit: Stuwmeer of valmeer (bergcentrale, spaarbekken, watermijn, valmeer)


Door het oppompen van water in een stuwmeer fungeert het water als een vorm van "potentiële energie" (zie wateraccumulatie bij waterkrachtcentrale of spaarbekkencentrale voor reële mogelijkheden). 
In landen die wat bergachtiger zijn dan Nederland zijn veel stuwmeren, maar in Nederland kan dat ook, met wat meer inspanning natuurlijk.
Een stuwmeer fungeert als reservoir waar op een  gecontroleerde manier water uit kan ontsnappen om een turbine aan te drijven die elektriciteit opwekt.
Hoe hoger het verschil tussen de waterstanden aan beide zijden van de stuwdam (het verval), des te meer energie kan er opgewekt worden.

Nederland heeft niet veel mogelijkheden voor stuwmeren en waterkrachtcentrales of spaarbekkencentrales, maar een teveel aan elektriciteit (of zeer goedkope elektriciteit) kun je ook naar Noorwegen of Duitsland "sturen" om een stuwmeer te vullen.
Bij een teveel aan elektriciteit kan ook bijvoorbeeld water vanuit het IJsselmeer in het Markermeer gepompt worden en bij een tekort aan elektriciteit stroomt het water weer naar het IJsselmeer, langs een turbine die elektriciteit opwekt. Dit Plan Lievense benut het Markermeer als buffer, een briljant plan uit 1981 van ingenieur Luc Lievense (1924-2015).
Als het ons lukt een groot stuwmeer hiervoor te kunnen bouwen (waarom zou dat niet lukken?), dan is dit veruit de eenvoudigste, goedkoopste en milieuvriendelijkste manier van energieopslag.

Een stuwmeer wordt ook witte steenkool genoemd, een term die dateert uit de tijd dat de warmte in elektriciteitscentrales vooral door steenkool werd opgewekt (de benaming "witte" in tegenstelling met het zwarte van de steenkool, wellicht door de kleur van het uitgestuwde water of omdat de stuwmeren vooral door gesmolten sneeuw worden gevuld).

stuwmeer als energieopslag; zie stromend water, spaarbekkencentrale (waterkrachtcentrale):


Watermijn: opslag in stuwmeer en in mijnen van Limburg
De Watermijn is gestoeld op een idee van Jan Huynen voor een waterbassin (stuwmeer) dat verbonden is met een bassin (bijvoorbeeld een oude mijn in Limburg) op zo'n 1400 meter diepte onder de grond. Bij een tekort aan elektriciteit stroomt water van het stuwmeer naar de mijn en wordt via een turbine elektriciteit opgewekt. De initiatiefnemers: "Op deze manier kunnen we 6 uur lang 1,5 miljoen huizen van stroom voorzien".
Wanneer er teveel elektriciteit is of wanneer die goedkoop is (veel zon en wind bijvoorbeeld), dan wordt het water uit de mijn weer teruggepompt naar het stuwmeer. 
Het stuwmeer zal ca. 400x500 m groot moeten zijn om en "ergens tussen Sittard-Geleen en Maastricht Aachen Airport" i.v.m. de juiste geologische gesteldheid.  
De watermijn wordt ook Ondergrondse Pomp Accumulatie Centrale (OPAC) genoemd.

Valmeer
Een andere optie is niet het water op te pompen, maar het uit een valmeer te halen. Onder meer ir. Dick Zwemmer heeft dit plan uitgewerkt (2007). "Werk niet met hoge dijken en een hoge waterstand boven NAP, maar ga de diepte in. Maak in de Noordzeebodem een meer van 40 m diep, en gebruik het vrijkomende materiaal om de dijk om het Valmeer te bouwen. Het ontwerp gaat uit van een dagproductie van zo’n 18 GWh bedragen." 
Dit betekent:
- bij teveel aan elektriciteit haal water uit het valmeer en pomp dat in de zee
- bij tekort aan elektriciteit stroomt water van (hoger gelegen) zee door turbines naar het (lager gelegen) valmeer
- de turbines wekken elektriciteit op.

Het benutten van stuwmeren, binnen onze grenzen, in IJsselmeer/Markerwaard of de Watermijn in Limburg of desnoods een "optie" op stuwmeren in Noorwegen of Duitsland is een eenvoudige en goedkope manier om energie op te slaan. 

Zie ook spaarbekkencentrale.


Elektriciteit: Chemisch omzetten

(a) Power-to-Gas, P2G, groene waterstof of methaan als opslagmedium ("accu"); 
en Gas-to-Power of brandstofcellen om er elektriciteit van te maken

(b) Ammoniak, methanol of Hydrozin als vloeibare opslag van energie
(c) Battolyser (batterij + waterstofproductie)
(d) Andere methoden

(a) Power-to-Gas,  P2G, groene waterstof of methaan als "accu"; en Gas-to-Power of brandstofcellen om er elektriciteit van te maken

Power-to- Gas
Bij overcapaciteit van geproduceerde (bij voorkeur uiteraard groene) elektriciteit of bij langdurig goedkoop zijn daarvan, kan elektriciteit via de electrolyser (ook wel: elektrolyser, in een soort Nederlands) bijvoorbeeld water omzetten in waterstof en zuurstof; daarna kan eventueel het waterstof met CO2 methaan leveren en water: 
2H2O ==>  2H2 + O2 (en  daarna eventueel 4H2 + CO2 ==> CH4 + 2H2O, de Sabatier-reactie, eventueel met CO als invoer).

Een fabriek waar waterstof wordt geproduceerd, groen of niet groen, is een Hydrogen Production Plant (HPP; overigens wordt Hydrogen Power Plant, waar waterstof een bron voor energie is, ook wel eens afgekort tot HPP).

Het opslaan van elektra in de vorm van waterstof is vooralsnog eenvoudiger dan het opslaan van elektriciteit zelf (zolang accu's zeer duur blijven)Wanneer we met de elektriciteit van windenergie op zee, en eventueel van zonnepanelen op zee, waterstof produceren die wordt opgeslagen in oude olie- en gasvelden op zee, dan kan de waterstof later gebruikt worden voor verwarming (voor burgers in wintertijd vooral).
Power-to-gas-installaties (en daarna Gas-to-power) geven het elektriciteitsnet de flexibiliteit die nodig is wanneer te weinig elektriciteit uit zon en wind wordt verkregen. 

Gas-to-Power
Een Gas-to-Power-installatie kan vrijwel meteen elektriciteit leveren, enigszins vergelijkbaar met het verbranden van aardgas in een centrale, alleen komt er geen CO2 en warmte vrij maar onmiddellijk water in de vorm van stoom:
2H2 + O2 ==> 2H2O + energie (dus stoom)

En met deze stoom wordt een stoomturbine aangedreven die elektriciteit opwekt.

De waterstof kan ook eventueel eenvoudig getransporteerd worden door dat deel van het aardgasnet dat niet meer gebruikt wordt en opgeslagen worden in oude aardgas-"bellen". Ook zuurstof kan worden opgeslagen om te gebruiken bij de productie van elektriciteit.
Waterstof of methaan, en bij krapte de stap naar elektriciteit, kan waarschijnlijk voor Nederland een gemakkelijke en goed schaalbare oplossing zijn. (Opslag van moleculen waterstof en methaan fungeert als "accu" bij stilvallen van de wind of wegvallen van de zon.) 
Ook lucht kan vloeibaar gemaakt worden. Bij het "loslaten" van deze 700 keer gecomprimeerde lucht kan energie opegwekt worden door een turbine.


Bij overproductie worden zonnepanelen helaas nog steeds (tijdelijk) van het net afgesloten en worden windmolens stilgezet; ook de traditionele centrales produceren vaak een teveel aan elektriciteit.

Waterstof kan ook het aardgas vervangen voor cv-ketels. Het schijnt dat moderne cv-ketels nu al 10-20% waterstof aankunnen als dat bij het aardgas gemengd wordt (2022). Voor slecht geïsoleerde huizen een mogelijkheid om toch de winter door te komen.

Omdat ook in de industrie over niet al te lange tijd de energietransitie zal moeten plaatsvinden, is het vervangen van olie en aardgas door groene waterstof een optie. Op de Maasvlakte wordt door Shell een groene-waterstof-centrale gebouwd met als bron de elektriciteit van een nabijgelegen windpark op zee. Deze centrale is vooralsnog niet zeer groot (200 MW), maar de toekomstige groene-waterstof-centrale in de Eemshaven zal waarschijnlijk 4 GW zijn (4000 MW).

Proces bij productie en gebruik van groene waterstof of groene methaan
- Overmatig geproduceerde, duurzaam opgewekte energie wordt via een electrolyser gebruikt om water te splitsen in waterstof en zuurstof, of door CO2 om te zetten naar methaan.
- Bij een tekort aan "stroom" kan waterstof of methaan weer omgezet worden in elektriciteit via verbranding (zie boven) of via een brandstofcel (zo goed als rechtstreeks elektriciteit maken uit waterstof). Waterstof fungeert hier dus als een soort "accu".

Opmerkingen
- Zeer efficiënt is het proces nog niet: ca. 60% rendement van elektriciteit naar waterstof, iets minder naar methaan, en van gas naar elektriciteit ca. 40%. Maar bedenk wel dat de waterstof fungeert als (broodnodige) energieopslag en met "gratis" of zeer goedkope energie als bron; het proces heeft dus een geheel andere functie dan de primaire processen die met relatief dure bronnen gevoed moeten worden. 
- Electrolysers zijn nog steeds zeer duur. Zo duur dat het waterstof economisch gezien eigenlijk continu moet worden aangemaakt (op "vol-lasturen" moet draaien).
- Vooral het comprimeren tot vloeibare waterstof of methaan verdienen waarschijnlijk aandacht om te verbeteren.
- Mogelijk is in de toekomst opslag van waterstof als metaalhydride mogelijk, een Metal-Organic Framework (MOF) materiaal.
- Mogelijk is in de toekomst ook het produceren van azijnzuur uit methaan mogelijk (en daarna wellicht de stap terug van azijnzuur naar methaan om later weer elektriciteit op te wekken): CH4 + CO2 ==> CH3COOH; of nog beter omzetten naar methanol (CH3OH) omdat methanol onder normale omstandigheden vloeibaar is.
- Net als met zonnepanelen kunnen ook in het kader van waterstof in vrij korte tijd veel innovaties plaatsvinden. Bijvoorbeeld op de Duke University (Durham, USA) is een eenvoudig nieuw materiaal ontwikkeld van nikkeldraadjes, waardoor waterstof 50 keer sneller aangemaakt kan worden uit water, een enorme verbetering van efficiënte, groene productie van waterstof.

Voordelen van opslag in waterstof en methaan
- vergelijkbaar met aardgas; aardgasnet en zelfs met wat aanpassingen onze cv-ketels zijn ook te gebruiken met waterstof of methaan
- de meest gangbare electrolyser kan in een kwartier worden op- of afgeschakeld
- vrij gemakkelijk omzetten naar elektriciteit
- er zijn ook zonnepanelen die direct waterstof uit water produceren (rendement 15%; onderzoek KU Leuven 2019); het nut lijkt discutabel met zo'n laag rendement en omdat je er geen elektriciteit van maakt, maar de industrie kan veel waterstof gebruiken dus deze manier om groene waterstof te maken levert onmiddellijk milieuvoordeel
- bij verbranden van waterstof komt geen CO2 vrij
- bij verbranden van methaan komt wel CO2 vrij maar dat is evenveel als er opgenomen is in de eerste stap (om methaan te maken): 
CH4 + 2O2 ==> CO2 + 2H2O + energie (stoom)
- al vanaf 2011 wordt in zoutcavernes (zoutmijnen) aardgas opgeslagen; HyStock werkt aan de eerste grootschalige ondergrondse opslag van waterstof in Nederland ("ruime belangstelling voor waterstofopslag eerste zoutcaverne HyStock", 24 juli 2023; jammer en wonderlijk dat pas vanaf 2028 opslag in de cavernes mogelijk is...)
- vrijwel alle huidige waterstof wordt in de industrie gebruikt, dat is meer "behapbaar" wanneer groene waterstof wordt ingezet in verbrandingsmotoren.

Nadelen van opslag in waterstof en methaan
- stoffen zijn brandbaar (maar aardgas is dat ook)
- opslag van waterstof als vloeistof moet bij -259 graden C, dat is niet handig, hoewel extreem geïsoleerde tanks door super-isolatie een uitkomst kunnen bieden (dit is isolatie zoals in de ruimtevaart wordt toegepast, onder meer via het luchtledig maken van de isolatielaag en reflecterend materiaal om straling buiten te houden; situatie 2021); omzetten van waterstof naar een andere stof (de "waterstofdrager") die gemakkelijk weer in waterstof is om te zetten en die opgeslagen kan worden bij "normale" temperatuur en druk lijkt bijna noodzakelijk als de koeling niet eenvoudig en goedkoop kan, maar door het omzettingsproces is de efficiëntie dan uiteraard veel geringer
- opslaan in oude aardgasvelden heeft (waarschijnlijk) nog niet eerder plaatsgevonden; misschien is methaan makkelijker op te slaan dan waterstof?
- omzetten van elektriciteit naar waterstof en weer terug naar elektriciteit heeft een niet al te groot rendement, maar energiecentrales op kolen of gas hadden een paar decennia geleden ook een zeer laag rendement
- voorlopig is er zelden echt teveel groene stroom om waterstof of methaan uitsluitend te fabriceren bij een overschot aan zonne- en windenergie
- er wordt wel eens beweerd dat waterdamp een broeikasgas is en dat daarom de productie van energie uit waterstof niet goed zou zijn, maar waterdamp in de lucht kan ook juist verkoelend werken en waterdamp condenseert bij de productie van energie uit waterstof en bij condensatie komt ook weer energie vrij die gebruikt kan worden in het systeem; overigens: (a) planten en bomen produceren enorm veel waterdamp dus zouden we alle bomen moeten kappen en planten de grond uit moeten trekken? (b) waterdamp van bomen werkt ook verkoelend, wat vooral in de binnenstad merkbaar is); soms schieten "milieumensen" wat door en lijkt de zorg voor het milieu meer op een religie dan op een weldoordachte, afgewogen manier om de aarde voor plant, mens en dier leefbaar te houden. 

Benamingen van waterstof
- Groene waterstof is waterstof verkregen via hernieuwbare energie, bijvoorbeeld via groene stroom van zonnepanelen en water zoals boven beschreven; in het Engels is het "green hydrogen".
- Grijze waterstof is waterstof verkregen via fossiele brandstoffen, bijvoorbeeld uit aardolie, aardgas of steenkool. Nederland is een zeer grote producent van deze vorm van aardgas. In het Engels is het "gray hydrogen", maar er wordt ook wel gesproken over "black hydrogen" of "brown hydrogen" als de bron resp. steenkool of bruinkool is.
- Blauwe waterstof is grijze waterstof waarbij de CO2 wordt afgevangen (opgeslagen of omgezet naar een andere stof); "blue hydrogen".
- Roze waterstof is waterstof verkregen door elektrolyse van water met als energiebron kernenergie; "pink hydrogen" (rose waterstof).
- Gele waterstof of zonnewaterstof is een specifieke vorm van groene waterstof: waterstof die rechtstreeks verkregen wordt uit fotokatalyse van zonlicht en water, bijvoorbeeld via de halfgeleider barium tantalum oxynitride (BaTaO2N), nog in experimenteel stadium (situatie 2021); "yellow hydrogen". Let op: in het Engels is "yellow hydrogen" soms ook een mix van wat beschikbaar is aan bronmateriaal.
- Turquoise waterstof wordt verkregen via aardgas en methaan pyrolyse; het bijproduct is vaste koolstof; "turquoise hydrogen".
- Witte waterstof is natuurlijk voorkomend waterstof, waarschijnlijk te verkrijgen via "fracking" (zie bij schaliegas), maar dat kan blijkbaar (nog) niet goed geëxploiteerd worden; "white hydrogen". (Bij Frans Lotharingen, vlak bij de Frans-Duitse grens, is december 2023 in de rotsachtige bodem "aardse" waterstof gevonden, dus witte waterstof. "Ook in Spanje, Duitsland, Zweden, Polen, IJsland, Noorwegen, Oekraïne, Rusland en Kazachstan zijn al bronnen ontdekt. In de VS wordt in Nebraska naar witte waterstof geboord. Een reservoir in Mali wordt al sinds 2014 als enige ook daadwerkelijk geëxploiteerd.")

Documentatie
- Huidige gasnet geschikt te maken voor waterstof (uit Energiegids 2018-10) 
- Site Energystock 
- Site Hyet Hydrogen 

- Site Waterstofnet 
- Site Waterstof Magazine 


Kritische noot

Er zijn nogal wat pilots met waterstof waar veel geld in gaat zitten. Dat is onvermijdelijk, maar als je als geïnteresseerde na doorlezen van de rapportage een aantal kritische vragen stelt over het project dan geeft men niet thuis (men is alweer bezig met een nieuwe pilot). Worden de rapportages van de pilots ooit door andere deskundigen beoordeeld? Worden de randvoorwaarden en omstandigheden van de pilot ooit door deskundigen doorgenomen? Worden de resultaten ooit in een groter verband gebracht zodat er niet weer vrijwel eenzelfde onderzoek plaatsvindt? 

een internationaal consortium, geleid door nouryon (voormalig akzonobel) en gasunie bouwden in delfzijl een waterstoffabriek om groene waterstof te produceren; klik voor groter!:


waterstofbuffer; productie, opslag, transport, gebruik en bijmengen van waterstof;
klik voor groter! (gasunie en energystock):


(b) Ammoniak, methanol of Hydrozine als vloeibare opslag van energie

Proces bij productie van ammoniak, methanol of hydrozine uit waterstof
Met waterstof kan bijvoorbeeld ook ammoniak, methanol of hydrozine worden gemaakt dat in de procesindustrie gebruikt wordt of in vloeibare vorm opgeslagen kan worden in grote tanks waar nu olie in bewaard wordt (alleen is ammoniak wat corrosiever dan olie). 

Nederland heeft vooralsnog veel teveel mest. Omzetten van mest naar ammoniak om later ammoniak naar elektriciteit om te kunnen zetten, is een optie. (Kritische noot: Beter is natuurlijk minder mest aan te maken door minder dieren te houden. God heeft de levende wereld geschapen om te eten én gegeten te worden, maar de intensieve veeteelt is de hel op aarde voor varkens, koeien en kippen.)

Ammoniak
Proces: het duurzaam aangemaakte waterstof reageert met stikstof uit de lucht tot ammoniak (NH3). Opslag en transport van ammoniak kan gekoeld of onder betrekkelijk matige druk van 10 atmosfeer plaatsvinden, ook voor langere termijn, vergelijkbaar met LPG. Energie uit ammoniak ontstaat:
- door verbranden van ammoniak; dat geeft in principe alleen stikstof en water als afvalproducten, geen CO2 (4NH3 + 3O2 => 2N2 + 6H2O)
- door de brandstofcel van het type SOFC (Solid Oxide Fuel Cell) waardoor elektriciteit ontstaat (er worden elektronen aangemaakt; met een efficiëntie van ca. 60%).

Voordelen van opslag van energie in ammoniak zijn
- vloeibaar ammoniak bevat per liter meer waterstof-atomen dan conventionele vloeibare waterstof (waterstof in de vorm van vloeibare ammoniak is energieopslag voor de langere termijn)
- vloeibaar ammoniak bevat ongeveer de helft van de energie van diesel of benzine
- ammoniak is gemakkelijk op te slaan en gemakkelijker te transporter
- de geproduceerde stikstof is toepasbaar voor een bepaalde tak van industrie.

Nadelen van opslag energie in ammoniak zijn
- een lek met ammoniak is slechter voor milieu ("mest") en omgeving (stank) dan een lek met waterstof (waterstof vervliegt maar is wel brandbaar)
- bij eventueel verbranden van ammoniak (bijvoorbeeld bij boten of vrachtverkeer) moet uitstoot van NOx vermeden worden (alleen N2 en H2O mogen vrijkomen).

Lees eventueel verder bij Ammonia Energy Association AEA.

Methanol
Methanol is gemakkelijk te produceren en heeft een energiedichtheid van 5 kWh/liter, dus kan redelijk goed als brandstof worden toegepast, ook voor schepen of vrachtwagens (diesel heeft een energiedichtheid van 10 kWh/liter).
Methanol uit duurzaam aangemaakte waterstof wordt e-methanol genoemd. Er komt steeds meer vraag naar e-methanol, maar duurzame elektriciteit wordt begrijpelijk voorlopig nog liever ingezet om niet-duurzame elektriciteit te vervangen dan om er waterstof van te maken. 

Hydrozine
Hydrozine (CH2O2 of HCOOH), ontstaat als waterstof reageert met water en CO2. Hydrozine is daarmee een goede drager van waterstof. In een aggregaat wordt de hydrozineomgezet naar waterstof en komen water en CO2 vrij; de O2 wordt zo mogelijk in hetzelfde proces hergebruikt. 
Wanneer waterstof op een groene manier wordt aangemaakt (uit water en groene elektriciteit van bijvoorbeeld windmolens of zonnepanelen) dan is dit proces in principe groen.
Een andere naam voor hydrozine is mierenzuur en in het Engels is het formic acid, methanoic acid.

Voordelen van opslag van energie in hydrozine
- hydrozine is vloeibaar onder normale omstandigheden (geen druktanks nodig zoals bij waterstof)
- ook voor de veiligheid beter dan waterstof (brandt niet zo snel; vergelijkbaar met diesel dat ook niet zo snel ontbrandt)
- één liter hydrozine bevat 53 gram waterstof (waterstof weegt 0,09 kg/m3 dus 53 gram is bijna 0,6 m3 waterstof in gasvorm; in 1 kg waterstof zit 33,3 kWh ofwel 120 MJ aan energie; in 1 liter hydrozine zit dan (53/1000)*33,3 kWh d.w.z. 1,76 kWh ofwel 6,34 MJ; overigens, in 1 m3 waterstof zit dan 3,0 kWh ofwel 10,8 MJ)
- geen toepassing van zeldzame metalen e.d.; een simpel proces
- als de benodigde elektriciteit in het proces groen is en als de geproduceerde CO2 wordt hergebruikt bij de productie van hydrozine, dan is het proces CO2-neutraal.

Nadelen van opslag van energie in hydrozine
- hydrozine is zeer corrosief dus is mogelijk speciaal materiaal nodig voor opslag en leidingen
- bij de productie van waterstof uit hydrozine komt CO2 vrij dat het beste onmiddellijk gebruikt kan worden om van waterstof hydrozine te maken; wanneer dat niet zo is, wordt toch weer CO2 uitgestoten of het moet worden opgeslagen.

(c) Battolyser (energieopslag + waterstofproductie)

De "battolyser" is een combinatie van accu (batterij, energieopslag) en electrolyser (unit voor de productie van waterstof). Het interessante is dat toevoer van elektriciteit opgeslagen wordt in de battolyser, maar als de accu gevuld is, automatisch de elektriciteit gebruikt wordt om waterstof te produceren.

Oorspronkelijk is de battolyser door Prof. Dr. Fokko Mulder en student Bernhard Weninger (beiden TU Delft) als een prototype vervaardigd: "Zodra de batterij vol begon te raken, begon hij waterstof te produceren." Inmiddels is de battolyser opgeschaald naar een demo-versie bij de Magnumcentrale in de Eemshaven (15 kW/15kWh, situatie 2021 en mogelijk later tot 10 MW) met als doelen:
- opvangen en opslag van groene energie (van zon en wind)
- produceren van waterstof (wanneer de batterij is opgeladen)
- terugleveren van elektriciteit aan het openbare net óf continueren van het produceren van waterstof (afhankelijk van het feit of levering aan het net gewenst is).

de battolyser slaat energie op én produceert waterstof (abstract efficient electricity storage with a battolyser, an integrated ni–fe battery and electrolyser van prof.dr. fokko m. mulder, bernard m.h. weniger, j. middelkoop, f.g.b. ooms en h. schreuders; tu delft):  


(d) Andere methoden, omzetting van CO2 e.d.

De tijd leert ons welke andere omzettingsprocessen er nog meer interessant zullen zijn voor energieopslag.

- "Een nieuwe onderzoekslijn is de foto-elektrochemische conversie van CO2 tot CO. In combinatie met H2 kunnen dan op kunstmatige wijze koolwaterstoffen worden gesynthetiseerd." (TU Delft) Op die manier kunnen koolwaterstoffen (bijvoorbeeld methaan enz.) als energiebron worden opgeslagen."

- Een andere optie is de afgevangen CO2 rechtstreeks te gebruiken voor de productie van kalk en groene methaan in een nieuwe kalkoven.
Geïnitieerd door Carmeuse is er een samenwerking ontstaan tussen Carmeuse (productie van kalk e.d.), John Cockerill (energie-oplossingen), Storengy (opslag oplossingen van onderaards aardgas, CO2 e.d.) en Engie (energiebedrijf): op basis van water, groene elektriciteit en kalksteen (CaCO3) wordt m.b.v. een electrolyser waterstof en CO2 gemaakt, waarna groen methaan, kalk (CaO), zuurstof en warmte ontstaan (en geen CO2 meer aanwezig is). Zie ook afvang en opslag van CO2 (CCS) en afvang en onmiddellijk gebruik van CO2 (CCU).

productieproces van een nieuwe kalkoven zoals voorgesteld in de samenwerking tussen diverse bedrijven;
klik voor groter!


- Verder is aangetoond dat bepaalde mineralen energie uit zonlicht kunnen halen (via fotosynthese). Dat kan een manier zijn om water te splitsen in waterstof en zuurstof (2H2O => 2H2 en O2; tijdschrift GEA december 2021 p.20, Landelijke Vereniging voor Geologische Activiteiten LVGA).

- Op een milieuvriendelijke manier verkregen waterstof kan toegepast worden om synthetische kerosine te maken. Zo kan ook de luchtvaart op een groene manier werken, als er ooit voldoende groene waterstof is tenminste.

- Waterstof kan op de een bepaalde manier omgezet worden naar een poeder als waterstofdrager (bijvoorbeeld natriumboorhydride NaBH4) waardoor het beter te gebruiken is als energieopslag (gemakkelijker, geen gas immers, veiliger), als brandstof voor schepen e.d. (het proces in schema).
"H2Fuel is een gepatenteerde techniek voor de productie, opslag en vrijgave van waterstof", zie verder bij H2Fuel.

waterstof in dorge vorm (h2fuel):


Zie eventueel verder bij afvang en opslag of onmiddellijk gebruik CO2.



Elektriciteit: Onderwatertanks (ondergrondse hydro-electric plants)


Opslag van energie onder water in "tanks". Een speciale manier van het "opslaan van energie" bij een overschot aan energie is het wegpompen van water uit opslagtanks in zee, die zich op 400 tot 800 m diepte bevinden. Wanneer energie nodig is, wordt er door een klep in de opslagtank te openen water toegelaten, waardoor het stromende water een turbine aandrijft die elektriciteit levert. 
Het overschot aan energie van windparken op zee of van zonneparken op zee (pv-panelen op zee), kan zo "eenvoudig" worden opgeslagen. De diepte van 400-800 m is noodzakelijk om een goede druk van het water op de turbine te hebben. Voordeel is dat de methode goed opschaalbaar is: als er vaker meer overschot aan energie is, kan er een tank worden bijgeplaatst. Toevoer en afvoer van lucht is nodig om het water uit en in de tank te laten lopen.
Voor meer informatie: Offshore Energy Storage FLASC.

Opmerking: op Malta is een test gedaan (2017-2019) door o.m. de Universiteit van Malta met een vat op de bodem van de zee (slechts 150 m diep!) en een tweede vat net onder het oppervlak van de zee. Het principe is vrijwel hetzelfde als hierboven vermeld. Het was een project van Offshore Energy Storage FLASC.

pompcentrale en opslagtanks vrij diep in zee:


principe van energieopslag bij opwekken door een windmolen op zee;
klik voor groter (copyright flasc):

 



Elektriciteit: Blue energy battery


Zoals blauwe energie opgewekt kan worden waar zoet en zout water elkaar ontmoeten, zo kunnen ook tanks met zoet en zout water voor energie zorgen.
Opladen batterij door zoet en zout water bij elkaar te brengen via membranen (zie bij blue energy).
Ontladen batterij door het zoute water te verdunnen met het zoete water.

blauwe energie met membranen die uitsluitend positieve of negatieve ionen doorlaten (kema, onderdeel van cesi):

 



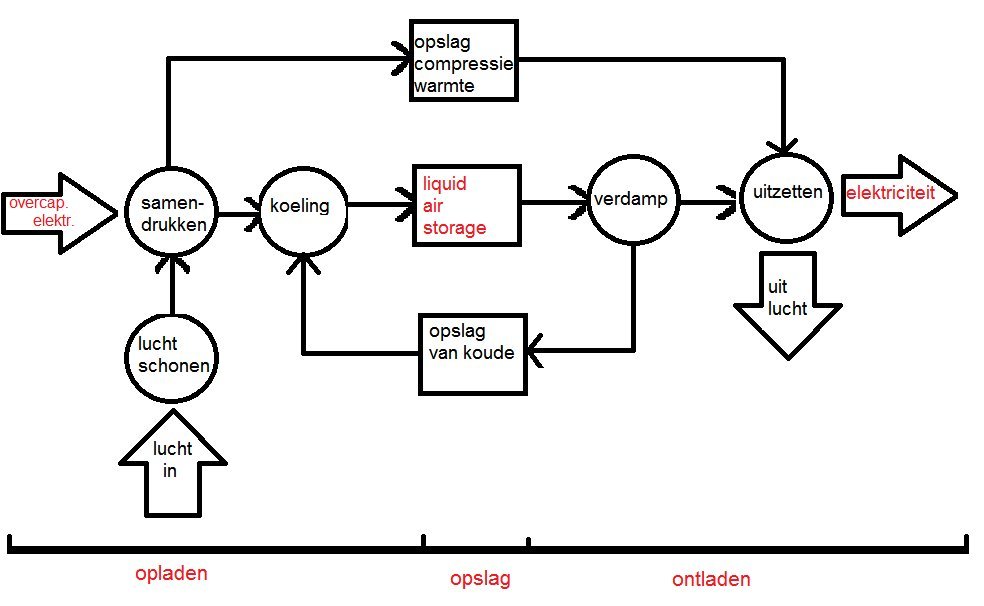
Elektriciteit: Samengedrukte lucht of vloeistof (opslag perslucht; Cryogenic Energy Storage CES, Liquid Air Storage, Liquid Air Engery Storage LAES)


In beginsel eenvoudige en dus veelbelovende technieken, zowel ondergronds als bovengronds hoewel de omgeving wellicht de voorkeur zal geven aan bovengronds (beter in toom te houden dan ondergronds).  

Er zijn pilots om energie in de vorm van samengedrukte lucht onder de grond op te slaan, bijvoorbeeld in oude zoutkoepels. Deze methode wordt wel de Compressed Air Energy Storage CAES genoemd en wel de soort Constant Volume Storage (het volume van de oude zoutkoepel wijzigt niet, wel de druk van de lucht die erin samengeperst is). 

Een variant van de samengedrukte lucht is Liquid Air Storage: met teveel aan elektrische energie wordt lucht afgekoeld tot vloeibare lucht en opgeslagen in lagedruk-tanks. Wanneer elektriciteit nodig is, laat men de lucht ontsnappen, die drijft een turbine aan en wekt elektriciteit op. Vloeibare lucht neem 1/700ste van de ruimte in van gasvormige lucht. Het economisch nut van deze methode is door de goede schaalbaarheid vrij eenvoudig en goedkoop te onderzoeken. Zie verder bij Highview Power.

Deze techniek wordt ook wel Cryogenic Energy Storage CES of Liquid Air Engery Storage (LAES) genoemd: energieopslag van vloeibare lucht gebruikt elektriciteit om lucht te koelen totdat deze vloeibaar wordt, slaat de vloeibare lucht op in een tank (energieopslag), elektriciteit opwekken door de vloeibare lucht weer naar een gasvormige toestand te brengen (door blootstelling aan omgevingslucht of met afvalwarmte van een industrieel proces) en dat gas te gebruiken om een turbine te laten draaien waarmee elektriciteit opgewekt wordt. 
In plaats van lucht kan ook stikstof worden opgeslagen (groot onderdeel van lucht immers).

principe opslag samengeperste lucht; klik voor groter!:

 



Elektriciteit: Vliegwiel (rotatie-energie; Flywheel Energy Storage FES)


Met een overdaad aan elektriciteit kan een groot, zeer zwaar vliegwiel worden aangedreven waardoor dat sneller draait. Zo kunnen snelheden van tienduizenden omwentelingen per minuut worden bereikt. Wanneer het vliegwiel weinig weerstand ondervindt, met magnetische lagers (frictieloos) en in vacuüm bijvoorbeeld, blijft deze opslagenergie enige tijd behouden en is de efficiëntie op kortere termijn boven 90%. Een "normaal" vliegwiel verliest de helft van zijn energie in enkele uren.  
Om elektriciteit op te wekken wordt rotatiesnelheid aan het vliegwiel onttrokken.

Voordelen vliegwiel
- kan snel energie opslaan (snel gestart en in een kwartier op grote snelheid)
- kan zeer snel energie leveren (snel opschakelen); geschikt om bij zonne- of windparken voor een tijdje stroom te leveren als er geen zon of wind is; geschikt om het netwerk te balanceren bij congestie?
- eenvoudig principe, weinig onderhoud
- gaat lang mee (voorbeeld: 20 jaar of > 1 miljoen cycles).

Nadelen vliegwiel
- opgeslagen energie behoorlijk valt snel weg in vergelijking met o.m. een accu (voorbeeld van een stand-by loss is 7% per uur), dus de energie moet relatief zeer snel gebruikt worden
- niet heel erg grote capaciteit
- neemt nogal wat ruimte in
- prijs?
- moet goed afgesloten zijn (i.v.m. vacuüm e.d.).

Bepalen van de massa, capaciteit e.d.
De omvang van de energie kan ca. 100 kWh zijn. De energie van veel vliegwielen ligt blijkbaar tussen de 10 en 50 kJ/kg.
Die 50 kJ is ca. 0,014 kWh (immers: 50000/(3600*1000)), dus voor 100 kWh is een vliegwiel van ca. 7000 kg nodig.

"De opgeslagen kinetische energie van een vliegwiel is evenredig met de massa van de rotor, het kwadraat van de straal en het kwadraat van de rotatiesnelheid (rpm)" en in formule: 

Ek = 0,5 * I * w2  ofwel bij cilinders:
Ek = 0,5 * (0,5*m*r2) * w2


I = traagheidsmoment van de massa om rotatieas [kg*m2]
I = (bij een cilinder) 0,5*m*r2
w = hoeksnelheid [rad/s], dus hoeksnelheid in round/min (rpm) delen door 6 (rad/round) * 60 (sec/min) dus delen door 10 om het aantal rad/s te verkrijgen
de eenheid van energie is Joule. 

Berekening van de capaciteit van een vliegwiel-opslag aan de hand van de bovenstaande formule (Excel-sheet)

vliegwiel als energieopslag met kinext, tot 92% efficiency, vliegwiel van 5000 kg, snelheid max. 950 km/h (1,800 rpm), capaciteit 30 kWh,  responstijd < 20 ms, benodigd 4x4 m grondvlak, heerhugowaard (brochure kinext t.b.v. s4-energy):

 



Elektriciteit: Blok aan kabel in mijnschacht (ophijsen en laten dalen)


Een (theoretische) manier om bij een energieoverschot potentiële energie op te slaan, is een gigantisch blok aan een hijskabel in een diepe mijnschacht op te trekken. Bij het dalen kunnen de afrollende hijskabels via een generator elektriciteit opwekken. Wanneer er weer een overschot is aan elektriciteit of enorm veel goedkope elektriciteit dan wordt het blok weer opgehesen. Maar levert dit voldoende op? 

Wanneer de mijnschacht 1000 m diep is en het blok 100.000 kg weegt, is er aan potentiële energie beschikbaar: Ep = m*g*h = 100.000*10*1000 = 1000 MJ. Omdat 1 kWh overeenkomt met 3,6 MJ heeft het systeem in dit voorbeeld slechts ca. 300 kWh aan opslagcapaciteit. 
Om 10 MWh aan opslagcapaciteit te hebben (voor ca. 4.000 huishoudens), is bij een diepte van 1000 m een blok nodig van 10.000 / 300  is 3,3 miljoen kg (ca. 3.000 ton).
Als je een blok lood neemt van dat gewicht, dan heb je ongeveer 300 m3 lood nodig. Bij een mijnschacht van 2x2 m opening (hoe groot is zo'n opening?) is dat een blok lood van 300 m lang. Dan moet je minimaal een 1300 m diepe schacht hebben, wil je profijt hebben van 1000 m potentiële energie van een loodblok van ca. 3.000.000 kg. (Er van uitgaande dat er geen verliezen zijn...; als het rendement 70% is, is een blok van ca. 4.500.000 kg nodig enz.)

Vragen
- Is de berekening hierboven correct?
- Zijn de mijnschachten recht naar beneden? Zo niet, dan moet het blok verdeeld worden in kleinere blokken en de kabel moet een stevige in de mijnschachtvorm gebogen staaf zijn.
- Hoeveel mijnschachten zijn er om te benutten? (En worden die al niet benut voor warmte-koude-opslag o.d.?)

Opmerkingen
- De kosten van 3 miljoen kg lood (of welk metaal dan ook) is nogal fors.
- Lood ligt toch wat moeilijk (milieugevoelig) dus er is eigenlijk een andere materiaal (betonblok o.d.) maar dat weegt altijd minder en neemt daardoor veel meer ruimte in.
- als het blok op de bodem van de mijnschacht ligt of het einde van de kabel heeft bereikt, dan moet er gewacht worden met optrekken tot de stroom weer goedkoop is. Dat is natuurlijk bij een accu ook zo, maar je zet makkelijker een extra accu neer dan dat je een mijnschacht moet zoeken en e.e.a. moet installeren. 

Als het hier goed berekend is en aan de andere voorwaarden wordt voldaan, dan is deze vorm van opslagcapaciteit van energie misschien wel aantrekkelijk...



Warmte-opslag: Buffervat, warmte-accu, warmtebatterij


Warmte-koude-opslag (wko) staat 's zomers warmte af aan een buffervat in de grond en levert in de winter de warmte die benodigd is. Voordeel van wko is dat 's zomers de koude gebruikt kan worden om het huis te koelen. 

Naast warmte-koude-opslag zijn er meer mogelijkheden voor een "warmte-accu". Een buffervat met warm water wordt nu nog meestal toegepast voor een korte periode en voor een beperkt gebruik. De bekende boiler is een voorbeeld. Wanneer het water opgewarmd wordt door zelf opgewekte elektriciteit, is het een duurzaam concept. 
Door de energietransitie naar groene energie en de gasprijs is het opslaan van warmte in buffervaten interessanter geworden. In zo'n buffervat is het handiger een ander materiaal dan water te gebruiken omdat dan meer warmte per volume kan worden opgeslagen. Een buffervat van zout, steen of staalslakken o.d. heeft dan de voorkeur.

Het buffervat kan in principe verwarmd worden door:
- een grote hoeveelheid zonnepanelen (leveren elektriciteit)
- zonnecollectoren (leveren warmte)
- PVT-panelen (leveren elektriciteit én warmte)
- een warmtepomp (levert warmte of vaak ook koude)
- een open haard (houthaard, bijvoorbeeld de Dik Geurts Ivar 10 H2O Store, ook aan te sluiten op de cv-installatie).

Wanneer die niet toereikend zijn, kan elektriciteit vanuit het openbare net worden gebruikt. Helaas is in de winter, wanneer we veel warm water nodig hebben voor de verwarming, de opbrengst van de zonnepanelen het kleinst, dus een eigen accu-systeem is noodzakelijk: 

- Zo'n accusysteem kan elektriciteit opslaan en leveren waarmee warmte wordt geproduceerd, maar daar zijn zeer veel of grote dure accu's voor nodig. Wel kunnen oude accu's van elektrische auto's gebruikt worden waarbij die accu's door eigen zonnepanelen opgeladen worden. Eventueel kan een wijk-accu-systeem uitkomst brengen.

- Opslag van warmte zelf heeft het voordeel dat die onmiddellijk als warmte beschikbaar is. Nadeel is dat een groot, zeer goed geïsoleerd buffervat nodig is om een huis te verwarmen. Zo'n warmte-accu kan bestaan uit een medium, liefst met een hoge warmtecapaciteit, waarin warmte wordt opgeslagen in een goed geïsoleerde "zak" in de kruipruimte (o.m. Solar Freezer), maar ook uit een betonnen, zeer goed geïsoleerd bijgebouw dat staalslakken bevat die in de zomer verwarmd worden door zonnepanelen of PVT-panelen (Centralized Energy Storage And Recovery CESAR) en via warmtewisselaar en een buizenstelsel de warmte aflevert bij de aangesloten huizen. De warmte-accu van CESAR kan inwendig ca. 450 graden Celsius bereiken. De zeer dikke isolatielaag houdt de warmte lange tijd vast zodat in de winter de warmte gebruikt kan worden. Gebruik van PVT-panelen boven pv-panelen heeft het voordeel dat uitsluitend de warmte kan worden opgeslagen en de elektriciteit (al of niet onmiddellijk) gebruikt kan worden door de aangesloten huizen. Nadeel is dat er fors geïsoleerd moet worden.

Nadeel van elk opslagsysteem is uiteraard dat de soms aanzienlijke ruimte beschikbaar moet zijn om de elektriciteit of warmte op te slaan.
Een ander nadeel is dat door het zeer beperkte aanbod van warmte-opslag-systemen (met uitzondering van warmte-koude-opslag) de aanschaf- en installatiekosten (nog) zeer fors zijn.



Warmte-opslag: Warmte-koude-opslag gesloten en open systemen (ook in aardlagen)


Warmte kan in de zomer ondergronds in (grote) aardlagen of in oude mijngangen worden opgeslagen en in de winter worden opgepompt om voor verwarming te zorgen, als een omvangrijke warmte-koude-opslag (wko).
Warmte-koude-opslag is, net als aardwarmte, een vorm van bodemenergie.

Vaak wordt ook over koude-warmte-opslag (kwo) gesproken, waarschijnlijk omdat door de slappe winters en de hete zomers de koude-opslag interessanter is dan de warmte-opslag. 

Gesloten warmte-koude-opslag (wko)
Een gesloten bronsysteem komt niet vaak voor. Bij een gesloten bronsysteem is het te verwarmen of te koelen medium in "reservoirs" of buizen opgenomen die alleen in verbinding staan met de rest van het energiesysteem. Voor een woning of ander gebouw kan dit een goede optie zijn, voor wijken of grotere gebouwen zouden de tanks te omvangrijk worden; daarvoor zijn open wko-systemen meer geschikt.

Open systeem
Als bij opslag van warmte en koude in de bodem gebruik gemaakt wordt van het grondwater dan is sprake van een open bronsysteem (open systeem voor bodemenergie). Een open systeem zal alleen nuttig zijn bij een grotere energiebehoefte i.v.m. de grotere energieopslag, de kosten, vergunningen, procedures e.d. 

Voordelen warmte-koude-opslag (wko)
- de warmte van de zomer (of de koelte van de winter) wordt opgeslagen en blijft grotendeels bewaard tot je die weer nodig hebt in de winter (resp. in de zomer)

Nadelen wko als open systeem
Aspecten die de problematiek van nieuwe warmte- en koudeopslag aangeeft bij open wko-systemen (voordat het wko-systeem is aangebracht):
- een prijzig systeem (ook wko als gesloten systeem)
- er is geen geschikt watervoerend pakket in de bodem (dikke zandpakketten)
- er mogen geen grote grondwaterstromen zijn (dan verdwijnt het warme of koude water immers)
- drinkwaterbescherming in de nabijheid kan opslag in de bodem beletten
- bestaande bodemverontreiniging mag niet verspreid worden door het wko-systeem
- geografische en juridische problemen, zeker wanneer het aantal installaties met warmte-koude-opslag sterk toeneemt: wat doe je als ondergrondse warmte- en koudebronnen te dicht bij elkaar liggen en elkaar door interferentie ongunstig beïnvloeden? wie is verantwoordelijk?
Aspecten bij een bestaand open wko-systeem:
- er is onbalans tussen warmte en koude; er wordt bijvoorbeeld teveel warmte onttrokken uit dan wel niet voldoende warmte toegevoerd aan de warme laag (de bodem wordt structureel teveel afgekoeld en het nuttig effect van het wko-systeem wordt steeds kleiner); monitoren met behulp van glasvezels in de bronnen kan het functioneren van het wko-systeem mogelijk verbeteren
- "veel wko-installaties zijn niet goed omdat de infiltratietemperatuur in de winter te laag gekozen wordt; daardoor zijn er te weinig uren met een buitentemperatuur die laag genoeg is om koud water te laden" (ing. P.F. van Gent, 2011)
- het wko-systeem kan vrij veel elektriciteit eisen; zelf opwekken van elektriciteit is zeer gewenst (meestal door pv-panelen).

warmte-koude-opslag, doubletsysteem,  figuur zomer winter; klik voor groter (geocomfort):

 



Warmte-opslag: Aquathermie


Aquathermie is het benutten van warmte / koude uit oppervlaktewater (TEO), drinkwater (TED) of afvalwater (TEA)
Aquathermie is daarmee een vorm van "energieopslag", de beschikbare warmte (of koude) bronnen van water. Omdat geen (directe) fossiele energie wordt gebruikt is aquathermie een in Nederland ruimschoots beschikbare bron van groene energie.

Voor al deze soorten geldt: 
- de warmtebron / koudebron is de warmte / koude van het water
- er moet een netwerk zijn om warmte of koude bij de klant te brengen
- met een warmtepomp wordt de temperatuur van het water verhoogd naar wat gewenst is (collectief centraal of decentraal, of individueel bij de klant).

Soorten aquathermie zijn:

  • Thermische energie uit oppervlaktewater (TEO) is de warmte en koude die aan het oppervlaktewater onttrokken wordt. Wanneer een gebouw nabij een rivier of ander groot water is gelegen, dan kan dit water fungeren als een soort natuurlijke warmte-koude-opslag
    In de winter is de temperatuur van rivierwater meestal een stuk hoger dan de omgeving en kan die warmte in een gebouw worden benut via een warmtepomp. In de zomer is het water van de rivier meestal veel kouder dan de omgeving en kan het worden gebruikt om een gebouw te koelen. Voor een warmtenet op basis van aquethermie moet in landelijke gebieden vaak een te grote afstand worden overbrugd wat de kosten aanzienlijk verhoogt en de en efficiëntie verlaagt. In die gebieden kunnen lokale, in de buurt aanwezige sloten, kanalen en plassen als warmte-koude-bron fungeren. 
    Meer gegevens over aquathermie uit oppervlaktewater.

  • Thermische energie uit drinkwater (TED) maakt gebruik van het feit dat de thermische energie van drinkwater in het leidingnet met een warmtewisselaar gewonnen kan worden, voordat het water door de klant gebruikt wordt.

  • Thermische energie uit afvalwater (TEA) heet riothermie.
    De temperatuur van dat water kan bijvoorbeeld in de zomer ook benut worden om warmte toe te voeren aan een (andere) vorm van warmte-koude-opslag (wko).
    Meer gegevens over aquathermie uit afvalwater (riothermie). 

de drie methoden aquathermie; teo is energie uit oppervlaktewater, ted is uit drinkwater en tea is uit afvalwater (warmingup):

 



Warmte-opslag: Phase Change Materials (Faseovergang van stoffen, vaak paraffines of zouten)


Het principe van faseovergangsmaterialen als warmteaccumulerende materialen is als volgt:
- door warmte op te nemen smelt het materiaal (bij een bepaalde temperatuur)
- tijdens het smelten absorbeert het materiaal grote hoeveelheden warmte uit de omgeving (de ruimte wordt hierdoor koeler)
- wanneer de temperatuur zakt, stolt het materiaal weer en komt warmte vrij (de ruimte wordt warmer; eventueel kan door ventilatie een teveel aan warmte verdwijnen)
- door de pcm's in geïsoleerde buffers op te slaan kan de "latente warmte of koude" op een later moment worden benut.

Voordelen PCM
- Relatief veel energie kan opgeslagen worden in een betrekkelijk kleine ruimte (mede afhankelijk van de soort stof en de isolatiegraad van het opslagvat).

PCM kan ook toegepast worden bij bijvoorbeeld vloerverwarming.

Zie verder, ook voor het temperatuurbereik en de voor- en nadelen van de verschillende stoffen, bij phase change materials!

capaciteit warmte-opslag van water, steen, hout, plastic en pcm (rubitherm):

 



Warmte-opslag: Thermisch-chemische opslag (Thermisch-Chemische Materialen TCM)


Methode A: Stof1 en warmte geeft stof2, bewaar stof2; om weer warmte te verkrijgen voeg iets aan stof2 toe om weer stof1 en warmte te verkrijgen. 
Uitleg van dit proces (TNO project SSUSG):
Thermo-chemische opslag van bijvoorbeeld natriumsulfide-pentahydraat en warmte geeft natriumsulfide-hemihydraat en water:
Na2S.5H2O + warmte (80 graden C) => Na2S.0,5H2O + 4,5 H2O
waarvan het natriumsulfide-hemihydraat als droog zout wordt bewaard. Wanneer warmte nodig is: voeg water(damp) toe waardoor de omgekeerde reactie warmte levert van 65 graden C.

Methode B: Stof1 en warmte resulteert in een verandering van Stof1 die later weer benut wordt om warmte vrij te maken. 
Het bedrijf Cellsius heeft een zout-batterij waarmee restwarmte omgezet wordt via het zout kaliumcarbonaat opgeslagen dat op een later moment, door toevoeging van waterdamp, wordt opgezet naar warmte. In 2023 verkeert nog in de experimentele fase, maar vooralsnog een interessante oplossing. Een bekend probleem bij de omzettingen van zout is dat die omzetting niet zo vaak kan plaatsvinden, maar hopelijk werkt het Cellsius-principe beter.

Methode C: Stof1 en warmte geeft twee aparte stoffen, bewaar beide stoffen. Om weer warmte te verkrijgen breng de stoffen weer samen en er ontstaat stof1 en warmte.
Uitleg van dit proces (De Beijer RTB):
"Thermochemie werkt op basis van het, onder een vacuüm, drogen en hydrateren van zouten. Door speciale zouten te verhitten met warm water of elektriciteit worden watermoleculen van het zout gescheiden. Door vervolgens het zout en het water apart van elkaar onder vacuüm te scheiden, is hiermee het chemisch potentieel voor eeuwig opgeslagen. Zolang beide compartimenten van elkaar gescheiden blijven ontstaat er een verliesvrije opslag. Om vervolgens warmte te genereren dient het vloeibare water door middel van verdamping omgezet te worden in waterdamp en bij het zout te worden gebracht. Het zout maakt vervolgens een chemische binding met het zout waarbij reactie-energie in de vorm van warmte vrijkomt. Deze warmte wordt afgevoerd en gebruikt om de woning of het gebouw te verwarmen."

principe thermo-chemische opslag, resp. "laden", opslaan en "ontladen" van warmte (de beijer rtb):

 



Warmte-opslag: Heet vloeibaar zout of Keramische kogeltjes


Bij bijvoorbeeld een zonnetoren (concentrated solar power, CSP) kan de centraal opgevangen hitte worden doorgegeven aan heet vloeibaar zout of keramische kogeltjes of eventueel in basalt. De temperatuur van het zout is afhankelijk van het soort zout dat gebruikt wordt. De temperatuur van de kogeltjes kan rond de 1000 graden C worden, waardoor veel warmte kan worden opgeslagen. De rotatiesnelheid van een zonnecentrifuge zorgt ervoor dat de hitte gelijkelijk verdeeld wordt over de kogeltjes van ca. 1 mm diameter. 
De hitte van de energieopslag wordt bij concentrated solar power gebruikt om 's nachts elektrische stroom te kunnen leveren. Soms is tot 7 uur back-up-stroom op deze manier mogelijk.

Voordelen van warmteopslag in heet vloeibaar zout of kleine bolletjes
- veilig systeem
- zout en kogeltjes zijn overal beschikbaar zijn
- gemakkelijke toepassing.

Nadelen van deze warmteopslag 
- de warmte-isolatie moet zeer goed zijn
- neemt vrij veel ruimte in.

Documentatie
- Zonnetoren: Concentrated solar power (csp), Solar Receivers and Steam Generators (en energieopslag in zout) (van John Cockerill)



Zie eventueel afvang en opslag van CO2 (CCS) en afvang en onmiddellijk gebruik van CO2 (CCU).