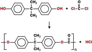
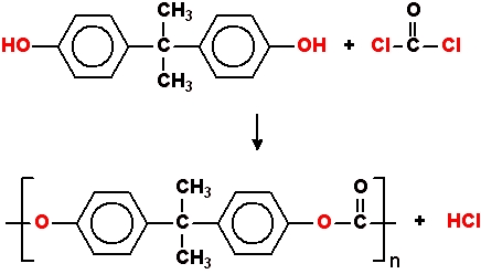
Ook: lexan, makrolon (beide merknamen). Polycarbonaat (PC) is een polymeer met carbonaatverbindingen (-O-CO-O-) en onderscheidt zich van andere kunststoffen door haar optische zuiverheid in combinatie met een zeer hoge slagvastheid (beter dan plexiglas/acrylaat).
Polycarbonaat-platen zijn maar liefst 250 maal sterker dan glas van dezelfde dikte. Deze combinatie van slagvastheid, weersbestendigheid en transparantie maken PC bijzonder geschikt voor veiligheidsbeglazing. Polycarbonaat wordt ook in de tuinbouw gebruikt i.v.m. de hagelbestendigheid. Een goedkoper alternatief voor polycarbonaat is PET.
Polycarbonaat en PET kunnen gerecyled worden.
![]() |
Het dak van de Arena is ook van polycarbonaat, het Lexan Thermoclear polycarbonate sheet, een soort dubbelglas van polycarbonaat dat speciaal toegepast wordt tegen het binnendringen van het hitteopbouwende infrarode licht. Lexan Solar Control IR polycarbonaat heeft nog betere karakteristieken en is zowel verkrijgbaar in enkele uitvoering als in "dubbelglas".
![]() |
![]() |
![]() |
![]() |
Het woord polycarbonaat bestaat uit poly (het Griekse woord voor veel) en carbonaat dat afkomstig is van het Franse carbonate (een koolzuurzout, 1794) van het Latijnse carbonatem (een koolzure stof), van het Latijnse carbo (koolstof); bron Online Etymology Dictionary.
Zie ook acrylaat (perspex, plexiglas).
Met dank aan Wikipedia (chemische formules), Agulon kunststoffen, Freek Olgers, TNO en Vink kunststoffen. Eng. polycarbonate; slagvast polycarbonaat is shatterproof polycarbonate